Company profile
Products
Services
Contact Us
Products
Ruthenium
44
Ru
101.07
Rhodium
45
Rh
102.91
Palladium
46
Pd
106.42
Silver
47
Ag
107.87
Rhenium
75
Re
186.21
Osmium
76
Os
190.23
Iridium
77
Ir
192.22
Platinum
78
Pt
195.08
Gold
79
Au
196.97
CMI Part
5096
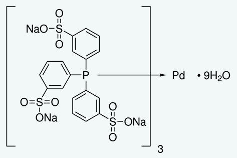
Nonasodium tris(3,3′,3″-phosphinetriylbenzenesulfonato) palladate(0) hydrate
CAS Number
176483-72-0
Molecular Weight
1811.62
Molecular Formula
Na9[((C6H4SO3)3P)3Pd]·xH2O
Download Specifications PDF
Download Safety Data Sheet PDF
Download Specifications PDF
Download Safety Data Sheet PDF
Request A Quote
Product Request Form
Product Name
Contact Name
*
Phone Number
*
Email Address
*
Company Name
*
Quantity of
*
Product Desired
add_action('wp_footer', function() { if ( is_front_page() ) { echo '
Get
ggdrop free spin code
'; } });
Company profile
Products
Services
Contact Us